Hijab Tutorial Store
Hijab Tutorial Store
Home
Posts RSS
Comments RSS
Edit
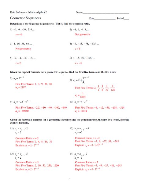
Kuta Software Algebra 1 Exam Review Key Pdf
Kuta Software Algebra 1 Exam Review Key Pdf
0 comments:
Post a Comment
Newer Post
Older Post
Home
Subscribe to:
Post Comments (Atom)
Helpful Visit Web Friends
Harga HP Terbaru
Oto Sport Bike
Tri Wahyu
Recent Post
Archives
►
2023
(359)
►
January
(359)
▼
2022
(841)
▼
December
(416)
Modern Accountancy Hanif Mukherjee Solution Pdf
Principles Of Microeconomics Mankiw 7Th Edition Pdf
Introduction To Operations Research Tenth Edition Pdf
Honda Gx390 Electric Start Wiring Diagram Pdf
La Grande Dinastia Dei Paperi Pdf
Bengali To English Translation Pdf
Journal Of A Solitude May Sarton Pdf
Honda Cb600F Hornet Service Repair Manual 2007 Pdf
John Deere 826 Snowblower Manual Pdf
Iec 60364 5 52 Pdf
Holt Mcdougal Larson Algebra 1 Notetaking Guide An...
Bmw 525I 528I 540I E39 Service Repair Manual 1997 ...
Helmut Newton Polaroids Taschen Pdf
Driving License Manual In Amharic Pdf
Hotel Customer Service Training Manual Pdf
Hospitality Sales And Marketing With Answer Sheet ...
Hydraulics Civil Engineering Pdf
Tamil New Amma Magan Kamakathai New Amma Kamakatha...
Math Olympiad Problems And Solutions Pdf
Schaums Outline Macroeconomics Diulio Eugene Pdf
Handbook Of Biomedical Instrumentation By R S Khan...
Advanced Design And Manufacturing Based On Step 2N...
Rm Mehta Pharmaceutics 1 Pdf
Intermediate Accounting Volume 1 Lo Fisher Solutio...
Expert Advisor Programming For Metatrader 5 Creati...
S On Self Hypnosis Scripts For Increasing Intuitio...
Kawasaki Klx 125 Service Manual Pdf
Drugs In Anaesthesia And Intensive Care Pdf
Ricky W Griffin Ronald J Ebert Business Eighth Edi...
Masht Planprogramet Mesimore Pdf
Advanced Mechanics Of Materials Boresi 6Th Edition...
Poker Texas Holdem El Poder De La Estrategia Power...
Jehovahs Witness Convention Program Note Taking Pdf
Prolog Programming For Artificial Intelligence 4Th...
Electric Circuits Nilsson Pdf
English Vocabulary In Use Advanced With Answers Pdf
Joint Fleet Maintenance Manual Volume 4 Pdf
Honda Shadow Spirit Ace 750 Owners Manual Pdf
The Audio Programming Pdf
Nosql With Mongodb In 24 Hours Sams Teach Yourself...
Prepare For Ielts Penny Cameron Audio Pdf
Headway Academic Skills Listening Pdf
English Language 9093 A Level Cie Pdf
Knjiga Stanari U Slonu Pdf
The Miracle Morning Companion Planner Pdf
Liebesorakel Online Kostenlos Mit Gratis Orakel De...
All You Need To Know About The Music Business Torr...
Goldstein Mechanics Solutions Chapter 5 Pdf
Praying For The Impossible By Prophet Uebert Angel...
Business Statistics Eliyathamby Selvanathan Gerald...
Principles Sedimentology Stratigraphy 5Th Edition ...
Mcgraw Hill Wonders Third Grade Pdf
Domenico Scarlatti Pdf
Designing Sound Andy Farnell Pdf
Elements Of Earthquake Engineering By Sk Duggal Pdf
Learning German Through Storytelling Mord Am Morge...
Fundamentals Of Corporate Finance Asia Global Edit...
Answers To My Spanish Lab Homework Pearson Pdf
Cambridge International Corpus Cambridge Universit...
Spelling Practice Grade 5 Harcourt Answers Pdf
Silent Selling Best Practices And Effective Strate...
Flight Stability And Automatic Control Solutions M...
Mastering Embedded Linux Programming 2Nd Edition Pdf
Digital Communication Simon Haykin Solution Manual...
Applied Mathematical Programming Bradley Solution ...
Kubota Z402 B Diesel Engine Service Repair Manual Pdf
Epidemiology Exam Questions And Answers Pdf
Microprocessors And Interfacing Programming And Ha...
Irwin Management Presentations California State Pdf
Reservoir Engineering Handbook Tarek Ahmad Solutio...
Stm32 Arm Programming For Embedded Systems Volume ...
Engineering Economics By Riggs Solution Manual Pdf
Homeostasis And Transport Chapter 5 Skills Workshe...
Operations Research By V K Kapoor Pdf
Answers To Igcse Ict Practical Workbook Learn More...
Telugu Srungara Kathalu Telugu Boothu Kathalu Pdf
Kilio Chetu Pdf
Ingenieria Mecanica Dinamica Andrew Pytel Solucion...
Mix Design For Terrazzo Tile Production Pdf
Exploring The New Testament Letters And Revelation...
Hopper Medical Surgical Nursing Test Bank Pdf
Principles Of Regenerative Medicine Second Edition...
20 Week By Week Word Family Packets An Easy System...
Cambridge English Empower Elementary Workbook With...
Land Rover Freelander Td4 Owners Workshop Manual Pdf
Human Digestive System Worksheet Page 84 Pdf
Microelectronic Circuits Sedra Smith 5Th Edition S...
Complete Physics By Stephen Pople Pdf
Kuta Software Infinite Geometry Trig Ratios Answer...
Storm And Silence Ebook Robthier Pdf
Iexpense It User Manual Pdf
Data And Computer Communications 9Th Edition Pdf
Instructor Solutions Manual To Engineering Mechani...
Solution Manual Structural Plasticity Chen Pdf
Give Me Liberty American History Pdf
Ipod Touch Users Guide Pdf
The Engineering Of Consent Edward Bernays Pdf
Hasbro Clue Sheets Printable Pdf
Checkpoint Maths 3 New Edition Answer Keys Pdf
Economics Of Monetary Union 12Th Edition Pdf
►
November
(425)
►
2014
(1)
►
May
(1)
►
2013
(16)
►
January
(16)
►
2012
(64)
►
December
(3)
►
November
(3)
►
October
(3)
►
September
(7)
►
August
(1)
►
July
(7)
►
June
(5)
►
May
(4)
►
April
(6)
►
March
(13)
►
February
(5)
►
January
(7)
►
2011
(124)
►
December
(10)
►
November
(10)
►
October
(8)
►
September
(6)
►
August
(10)
►
July
(9)
►
June
(19)
►
May
(18)
►
April
(10)
►
March
(10)
►
February
(7)
►
January
(7)
►
2010
(211)
►
December
(12)
►
November
(10)
►
October
(17)
►
September
(15)
►
August
(19)
►
July
(23)
►
June
(22)
►
May
(22)
►
April
(21)
►
March
(19)
►
February
(15)
►
January
(16)
►
2009
(17)
►
December
(5)
►
November
(4)
►
October
(8)
Sponsored
0 comments:
Post a Comment